반응형
취업 준비 중인 청년분들께 희소식이 있습니다. 역량강화를 위한 다양한 자격증 시험 응시료는 상당한 부담이 되는데요, 미취업 청년을 대상으로 어학 및 자격증 시험 응시료를 1인 최대 30만 원까지 지원하는 정책이 시행된다고 합니다. 사업비 예산으로 선착순 마감한다고 하니 지원대상, 지원내용, 신청방법 빨리 확인하시고 신청준비하세요.
목차

지원대상
지원자격
경기도내 거주 미취업 청년(만 19~34세)
경기도 내 연령기준일은 1988.1.2 ~ 2004.1.1이며, 2023년 1월 1일 기준 만 19~ 34세까지입니다. 응시일 기준으로 미취업, 지원년도 1월 1일부터 신청일까지 도내 거주한 청년이며, 시군별 사업비 소진 시 접수 순서대로 선착순 마감이라고 하니 신청일부터 서둘러서 신청하는 것이 좋을듯합니다.
경기도 문의처 : 경기도청 청년기회과 Tel. 031-8008-3453
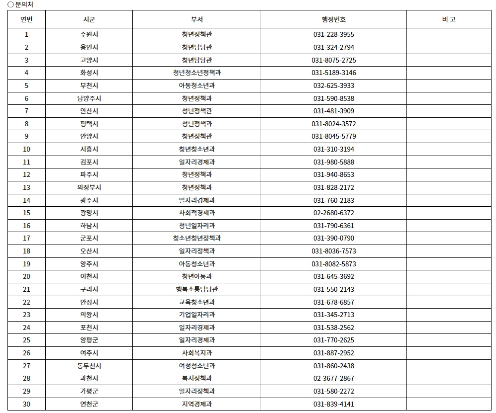
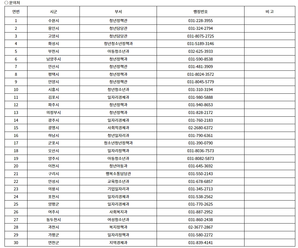
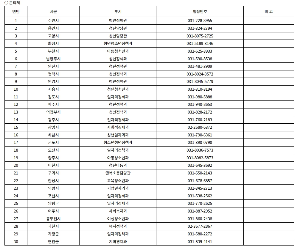
그 외 참여시군 : 30 곳

지원내용
응시료
최대 30만 원의 어학시험 및 자격시험 응시료를 계좌이체로 지급
- 청년 1인 연 3회, 회 당 최대 10만 원 실비지원(단, 청년 1인 지원합산금액 10원까지는 횟수제한 없음)
- 어학·자격시험 종류: 자율어학 19종, 국가기술자격, 국가공인 민간자격 등 (아래의 첨부파일 참조)



신청기간 및 방법
기간
- 1차 신청: 2023.05.01 ~ 2023.06.30
- 2차 신청: 2023.10.01 ~ 2023.11.30
신청방법
일자리재단(잡아바) 통합접수처시스템 사이트
필요 제출 서류
추후 확인
반응형
'정보' 카테고리의 다른 글
| 국내여행 할인 제도 '디지털관광주민증' 발급방법 (1) | 2023.06.07 |
|---|---|
| 2023년 경기도 청년면접수당 신청방법, 최대 50만원 (0) | 2023.05.24 |
| 도미나 크림 효과, 가격, 사용법, 사용후기 (1) | 2023.04.25 |
| 편의점 1회용 배터리 충전기 가격, 충전방법 (2) | 2023.04.07 |
| 긍정의 힘, 플라시보 효과와 그 반대 노시보 효과 (0) | 2023.03.15 |


댓글